Document | January 20, 2011 EFF Social Network Law Enforcement Guides spreadsheet .xls Read more about EFF Social Network Law Enforcement Guides spreadsheet .xls
Document | January 20, 2011 EFF Social Network Law Enforcement Guides spreadsheet .pdf Read more about EFF Social Network Law Enforcement Guides spreadsheet .pdf
Document | January 20, 2011 MySpace Quick Reference Sheet Read more about MySpace Quick Reference Sheet
Document | January 20, 2011 EFF's Guide to the Law Enforcement Guides - PDF Read more about EFF's Guide to the Law Enforcement Guides - PDF
Document | January 20, 2011 Tagged Law Enforcement Guide Read more about Tagged Law Enforcement Guide
Document | January 20, 2011 Stickam Law Enforcement Guide Read more about Stickam Law Enforcement Guide
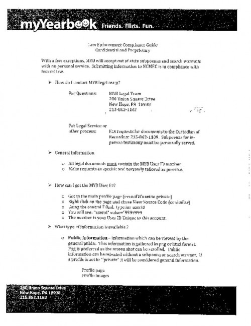
Document | January 20, 2011 MyYearbook Law Enforcement Guide Read more about MyYearbook Law Enforcement Guide
Document | January 20, 2011 Photobucket Law Enforcement Guide Read more about Photobucket Law Enforcement Guide