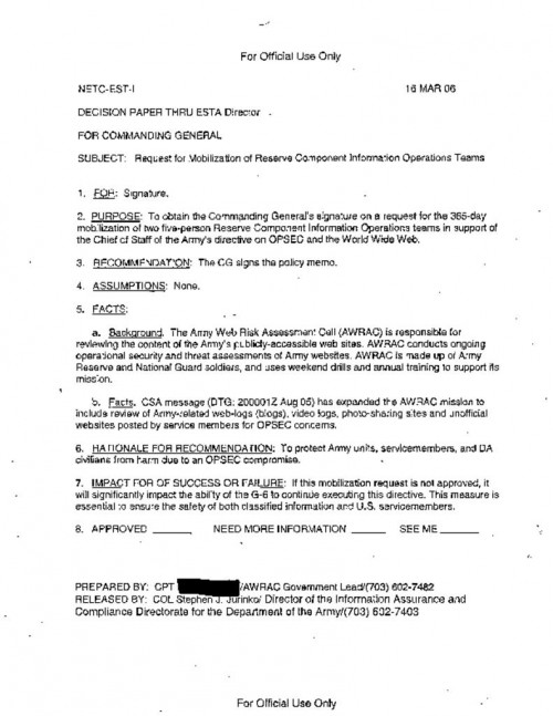
In this case EFF sought information concerning the Pentagon's monitoring of military websites including soldiers' blogs. According to news reports an Army unit called the Army Web Risk Assessment Cell ("AWRAC") reviews hundreds of thousands of websites every month notifying webmasters and bloggers when it sees information it finds inappropriate. Some soliders have told reporters that they have cut back on their posts or shut down their sites altogether because of the military's policies on blogging. EFF filed its suit after the Department of Defense and Army failed to respond to FOIA requests about the blog monitoring program. The documents ultimately released by the agencies are below.


