In 2002, EFF fought for open, transparent governance of the domain name system.
Karl Auerbach began asking for Internet Corporation for Assigned Names and Numbers's (ICANN) corporate records in November 2000, shortly after he was voted as the North American Elected Director of ICANN. ICANN management proceeded to obstruct his access to these records. Represented by EFF, Auerbach successfully sued to gain his rightful access under the law.
Updates
Legal Documents
-
December 12, 2013
Auerbach's objections to evidence in support of ICANN'S motion for summary judgment (July 15, 2002)
-
August 7, 2002
Judgement granting Auerbach's summary judgement motion and denying ICANN's summary judgement motion.
-
August 7, 2002
ICANN's reply brief
-
August 7, 2002
-
August 7, 2002
-
July 30, 2002
-
July 29, 2002
Transcript of the court proceedings
-
July 29, 2002
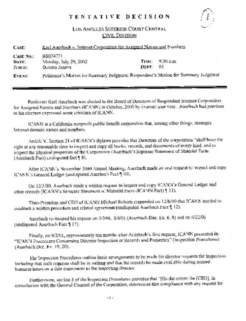
Tentative Supreme Court ruling (July 29, 2002)
-
July 15, 2002
Second declaration of petitioner Karl Auerbach (July 15, 2002)
-
July 15, 2002
Petitioner Karl Auerbach's reply brief in support of his motion for summary judgment & in opposition to respondent ICANN's motion for summary judgment (July 15, 2002)
-
July 15, 2002
Request for judicial notice (July 15, 2002)
-
July 15, 2002
Auerbach's objections to evidence in support of ICANN'S motion for summary judgment (July 15, 2002)
-
June 21, 2002
Defendant ICANN's memorandum of points and authorities in support of its motion for summary judgment with respect to plaintiff's petition for writ of mandate (June 21, 2002)
-
May 21, 2002
Karl Auerbach's Declaration in support of the summary judgment motion, including all of the exhibits
-
May 21, 2002
Separate Statement of Undisputed Material
-
May 21, 2002
This is an action by Petitioner KARL AUERBACH ("Auerbach") against Respondent INTERNET CORPORATION FOR ASSIGNED NAMES AND NUMBERS ("ICANN"). (May 21, 2002)
-
May 1, 2002
Defendant ICANN's verified first amended answer to verified petition for writ of mandate to compel inspection and copy of books records and documents. (May 1, 2002)
-
March 18, 2002
Karl Auerbach/EFF Verified Petition for Writ of Mandate To Compel Inspection and Copying of Books, Records and Documents of California Nonprofit Public Benefit Corporation Internet Corporation for Assigned Names and Numbers (ICANN), in Auerbach v. ICANN, case no. BS074771, Calif. Superior Court, Los Angeles (Mar. 18, 2002) [PDF version with text layer; may not preserve exact pagination & line numbering of original as submitted to the court; 80KB]


